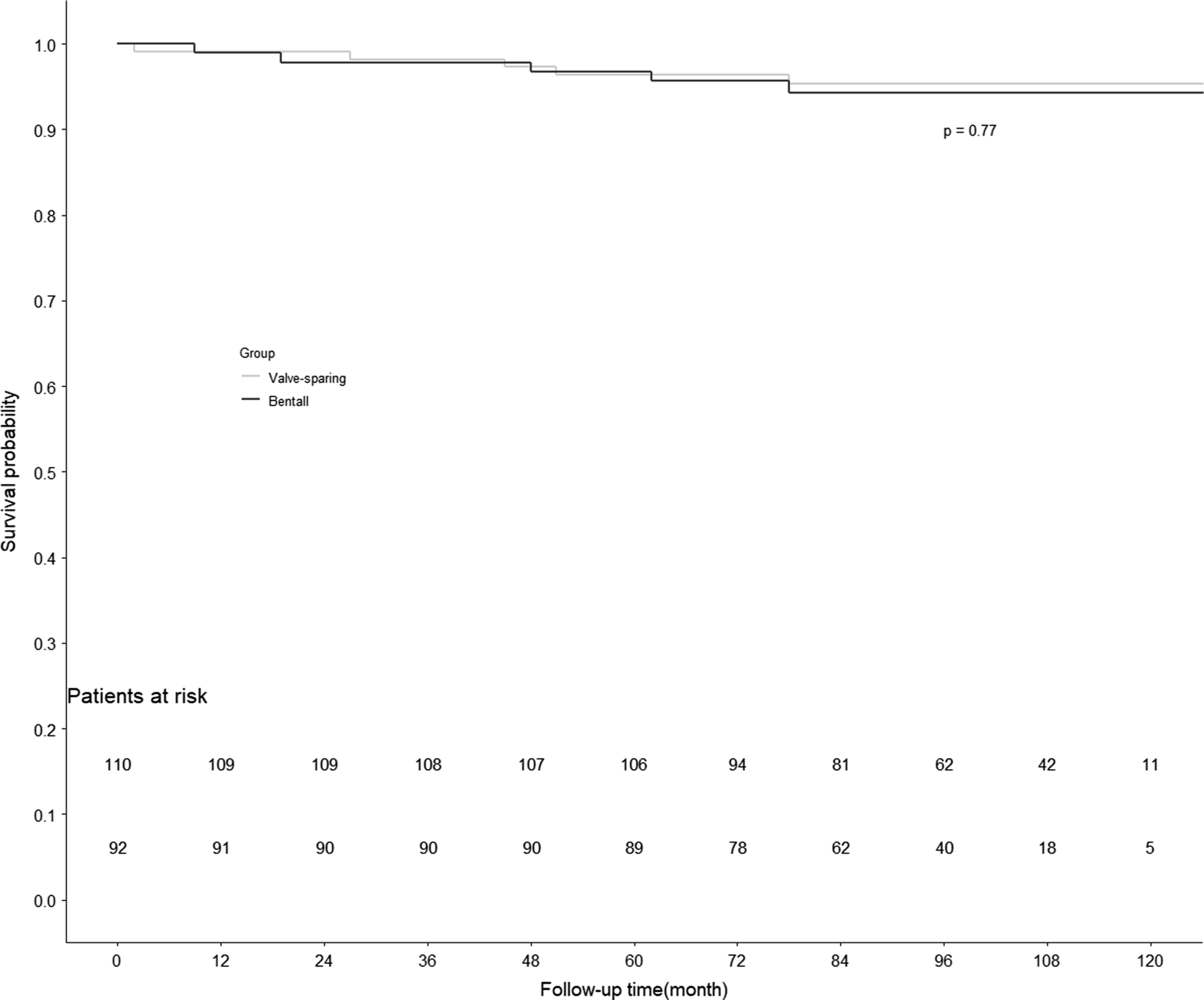
Fig. 3From: Mid-term outcomes of modified valve-sparing aortic root replacement versus the Bentall procedure for middle-aged Chinese patients with acute DeBakey I aortic dissection: a single-center retrospective studySurvival curve 1Back to article page